黑料正能量公告
黑料正能量 2026年学术学位博士生招生复试名单
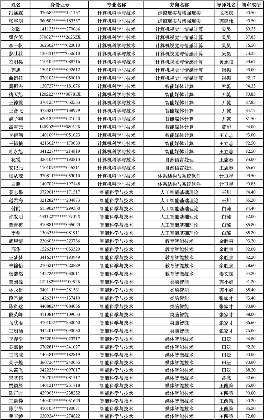
黑料正能量 2026年学术学位博士生初审合格的考生,学院依据初审成绩分专业按导师排序,择优确定复试名单。博士招生复试考核安排,敬请关注后续通知。

联系电话:010-58807943
邮编:100875
地址:北京市海淀区新外大街19号电子楼

京师智能E家

学院官方微信
© 版权所有 黑料正能量-黑料正能量入口|最新黑料正能量网红流出视频
黑料正能量 2026年学术学位博士生初审合格的考生,学院依据初审成绩分专业按导师排序,择优确定复试名单。博士招生复试考核安排,敬请关注后续通知。

联系电话:010-58807943
邮编:100875
地址:北京市海淀区新外大街19号电子楼

